The structural model is a method used to estimate the chance that a company will default on its debt. It works by comparing the value of the company’s assets to its liabilities. A firm is said to default if, at some future time T, the value of its assets is less than its liabilities.This approach is called “structural” because it is based on the structure of the firm’s balance sheet. It’s also called a firm-value model because it models the value of the entire firm.
One of the most famous structural models is the Merton Model, which assumes:
- The firm’s debt is a single zero-coupon bond due at time T.
- There are no payments before T; default is assessed at that point.
The model treats the value of the firm’s assets as following a log-normal distribution over time. At maturity T, if the assets are worth less than the debt, the firm defaults. The probability of this happening is the Probability of Default (PD).
This setup is very similar to pricing a European call option, where equity holders get the “leftover” value of the firm’s assets after paying off the debt. If the assets are below the debt level, the equity is worth zero, and the firm defaults.

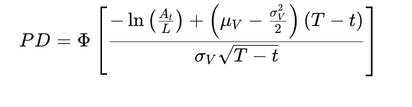
The PD can be calculated using the Black-Scholes formula, adapted to this context

Where:
- At: value of assets at current time ttt
- L: face value of debt (liabilities)
- μV: expected growth rate of assets
- σV: volatility of asset value
- Φ: cumulative normal distribution function
Calculating Probability of Default Using the Merton Model
To estimate the probability of default (PD) using the Merton model, we need to know the market value of a firm’s assets and their volatility. This is typically done using the Black-Scholes option pricing formula, often through an iterative method. We apply option pricing theory to link variables we can observe (like market equity value and debt) with those we can’t directly observe (like future asset values and asset return volatility).
At the time of debt maturity T, the firm’s equity value depends on the value of its assets:
- If the asset value is less than the debt (L), equity holders get nothing, as all assets go to the bondholders.
- If the asset value is greater than L, equity holders get the excess, and bondholders get exactly L.
This payoff setup resembles options:
- Bondholders’ payoff is like holding a zero-coupon bond plus writing a put option on the firm’s assets.
- Equity holders’ payoff is like holding a European call option on the firm’s assets with a strike price equal to the debt level L.
Payoff at Maturity:
- Bondholders: L−max(L−AT,0) → same as the payoff of a ZCB plus a short put.
- Equity holders: max(AT−L,0) → same as a European call option.
- Bondholders receive a flat payoff up to a firm value of L, after which it stays constant.
- Equity holders get nothing if the firm value is below LLL, but get the difference above L if the firm performs well.
Important Considerations
This model assumes the firm’s asset value follows a certain process (as in the Black-Scholes framework), but this introduces limitations:
- The outputs are very sensitive to inputs like asset volatility.
- Poor estimation of volatility can lead to inaccurate PD results.
- Though easy to implement, the Merton model may oversimplify reality.
To address this, enhanced models like the KMV model or the Black-Cox model use more realistic assumptions while still relying on the core structural idea.
Comparative Statics Analysis
According to Merton’s model, the probability of default behaves in the following ways:
- It increases when the amount of debt at maturity (DT) increases.
- It increases with the volatility (σA) of the company’s assets — but only if the initial asset value is greater than the debt.
- It decreases as the initial value of the company’s assets (A0) increases.
Strengths of Merton’s Model
- Simplicity and clarity: The model is relatively easy to implement and provides results that are easy to interpret.
- Captures the conflict between shareholders and bondholders: Shareholders benefit when the firm takes on riskier projects (higher asset volatility), as these could bring higher returns. In contrast, bondholders prefer safer, less volatile projects to reduce the risk of default.
Limitations of Merton’s Model
- Unrealistic assumptions about rare events: The model assumes asset returns are normally distributed (Gaussian world), which doesn’t account for extreme market events.
- Default is only considered at maturity: This is a major limitation because, in reality, companies can default at any time before the debt matures.
- Overly simplified view of bankruptcy: The model treats default as if the firm is completely liquidated. However, in practice, especially under laws like Chapter 11 in the U.S., firms can enter bankruptcy protection and reorganise rather than shut down completely.
